電子潔淨廠房工藝給水主要有工藝冷卻水及純水。
工藝冷卻水主要應用於各種工藝設備的冷卻。由於工藝設備內的冷卻管道有很多為管徑很細的毛細管道,為避免毛細管道的結垢,對工藝冷卻水的水質也提出了相應的要求。
純水主要應用於各種電子產品的清洗,純水的使用可以避免水中雜質對電子產品的汙染。應用於電子廠房的純水的主要特點不隻是水的電阻率高,還對顆粒度、總有機碳(TOC)、總矽、溶解氧(DO)、以及各種離子的含量有不同的要求。
1 工藝冷卻水管道的選擇
半導體、TFT-LCD等行業的工藝冷卻水係統為避免工藝設備冷卻盤管的結垢及堵塞,對工藝冷卻水水質提出了要求。
以某半導體廠工藝冷卻水設計水質為例:電阻率>30 kΩ· cm硬度<0.5德國度因此工藝冷卻水管道的選擇主要考慮兩個方麵的要求,一方麵是對水質的要求;另一方麵是對管道腐蝕的要求。
工藝冷卻水管道主要有不鏽鋼管道及塑料管道兩種。
(1)不鏽鋼管道
根據工藝冷卻水的水質要求,SS304不鏽鋼管即可滿足要求,但是半導體、TFT行業通常采用純水製備過程中產生的反滲透(RO)出水作為工藝冷卻水的補充水源,而RO出水根據純水製備工藝流程的不同其酸堿度也有所不同。當水的pH值呈中性或弱堿性時,可采用SS304不鏽鋼,當水的pH值呈酸時(RO出水在不加堿的情況下通常呈酸性),需采用抗酸性好的SS304L不鏽鋼。
根據不同工程的調研發現,不鏽鋼管道的腐蝕均發生在接口處及管道的底部。分析其主要原因,接口腐蝕主要在於焊接過程中未采用氬弧焊接而造成的氧化層破壞,使氧化層下的不鏽鋼金屬鉻合物造成腐蝕。管道底部腐蝕主要是由於管道衝洗時采用自來水,而自來水中含有較多的餘氯,衝洗後管道內的水未及時排空,造成了在局部管段的集水,當管道施工驗收完畢後較長時間係統未投入運行,則容易造成不鏽鋼的氯腐蝕,不鏽鋼中的氯離子腐蝕是應力腐蝕,在“奧氏體不鏽鋼-CL”中,溶液中氧的存在是促進金屬的鈍化,而氯離子則破壞金屬的鈍化,同時進入裂縫的尖端,構成鹽酸,使腐蝕加劇。
所以不鏽鋼管道選擇時需考慮一定的腐蝕餘量,應至少選用壁厚等級為Sch-10S級的產品,並采用正確的焊接方式,且在管道衝洗後應將管道內的水放空、吹幹。
(2)塑料管道
根據工藝冷卻水的水質要求,PVC管道即可滿足要求。常用的PVC有兩種,硬質聚氯乙烯(PVC-U)由聚乙烯單體聚合而成的一種熱塑性高分子化合物;氯化聚氯乙烯(PVC-C)由聚氯乙烯樹脂氯化得到的一種獨特的聚合物。由於PVC管道有較強的耐腐蝕性,故而即使水質呈弱酸、弱堿性,也不會造成管道的腐蝕。
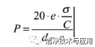
但塑料管道需注意工作壓力的問題,由於工藝設備內的冷卻管道管徑小而造成了較大的水頭損失,故而,工藝冷卻循環水係統的工作壓力較高,在管道的選擇時應根據應力計算確定管道的壓力等級。特別需注意的一點是管道的壓力等級並不等於設計管道的允許工作壓力。管道應力公式:
式中:P為管道允許的工作壓力(MPa);
d為管道外徑(mm);
e為管道壁厚(mm);
C為設計係數;
σ為管道應力(MPa)。
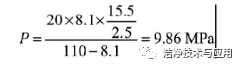
以PN16 PVC-U管道為例,管徑110 mm×8.1 mm,管道應力15.5 MPa,設計係數2.5,液體溫度40℃。
由此可見雖然管道的壓力等級為PN16,但該管道的允許工作壓力為9.86 MPa。
因此,通常選擇Sch80-PVC管應用於工藝冷卻水係統。Sch-80為ASME(美國機械工程師協會)的壁厚標準,Sch就是“schedule”,管道的壁厚等級。Sch是設計壓力與設計溫度下材料的許用應力的比值乘以1000,並經圓整的數值。即:
Sch.=P/〔ó〕t ×1000
式中:P為設計壓力(MPa);〔ó〕
t為設計溫度下材料的許用應力(Mpa)。
管道表號(Sch)並不是壁厚,是一壁厚係列。
同一管徑,不同的管道表號,其壁厚不同。Sch愈大者管壁愈厚。
PVC管道存在大口徑管道難以采購,且施工困難的缺點,故而PVC管道通常可應用於小於DN100的支管,幹管仍采用不鏽鋼管,兩種管道采用法蘭連接。由於小管徑的Sch80-PVC管的價格較不鏽鋼管低,故而可節省投資。
隨著新型管材的大量推廣和應用,在應用時應特別 注意管道的腐蝕性問題及管道接口問題。由於工藝冷卻水通常采用RO出水或軟化水作為補充水源,其存在一定的腐蝕性,管道內壁必須有足夠的抗腐蝕性。很多管道本身抗腐蝕性沒有問題,但管道接口處理不好容易造成接口處的腐蝕。比如,鋼襯不鏽鋼管道,接口不能保證水不與非不鏽鋼部分的完全隔離;鋼襯塑管道、鋼塗塑管道,無論是絲扣連接、卡環連接、溝槽連接還是法蘭連接均不能保證外層金屬與水的完全隔離。
2 純水管道的選擇
電子超純水通常為電阻率>15 MΩ·cm(25℃)的純水,而此時電阻率已經不是重要的因素,需根據其他指標的要求進行具體分析。
(1)管材性能比較
選擇管材的依據主要是管道的溶出物(見表1)及內表麵光潔度。主要應用的管道有Clean-PVC管、潔淨PP管、PVDF管幾種。Clean-PVC管采用耐衝擊硬質聚氯乙烯製造,其比普通PVC管含有較少的添加劑。從而減小了管道內壁的粗糙度(Clean-PVC管的表麵粗糙度小於0.37 µm,而普通PVC管的表麵粗糙度在1.0 µm)以及汙染物的析出。製造商主要有“積水國際貿易有限公司(SEKISUI)”、“日本旭有機材株式會社(ASAHI AV)”。潔淨PP管材質為(β)-PP-H均聚型聚丙烯,具有非常均一、致密的結構和出眾的抗衝擊強度。其高結晶度確保了極好的耐化學品性能,二氧化鈦色素的使用進一步提高了此特性。其內壁粗糙度及汙染物的析出性能與Clean-PVC接近。製造商主要有喬治.費歇爾管路係統有限公司(+GF+)。PVDF管材質為聚偏二氟乙烯,是一種高結晶度,高性能熱塑性塑料,可用溫度/壓力範圍廣。其主要特性是力學強度高、韌性好、具有優異的耐磨性、熱穩定性和介電性,其純度高,能熔融成型,對於大多數化學品和溶劑都具有很好的耐腐蝕性、抗紫外線和核輻射性能好、耐候性好、耐生物菌類的作用、氣體和液體阻隔性好、阻燃性好、發煙量少等優點。聚偏二氟乙烯是一種純淨的材料,它不含任何添加劑,且其表麵光滑,粗糙度小於0.2µm。製造商主要有喬治·費歇爾管路係統有限公司(+GF+)、奧地利AGRU公司。
(2)管材選擇 以幾種典型電子潔淨廠房用純水進行比較(見表2)。
類似於6英寸半導體前工序、TFT-LCD的水質可選擇Clean-PVC管或潔淨PP管。
Clean-PVC管從80年代即應用於半導體行業,現在在純水中得到了廣泛的應用。其優點在於由於得到了廣泛的應用,故而供應商都有一定量的庫存,所以交貨周期較短,安裝技術也比較簡單,通常進行半天的教室和現場培訓即可。其缺點在於,管道的粘結和安裝的質量。這也是眾多的半導體廠中有大量的PVC管道係統失效和漏水問題的原因。PVC管路係統失效主要是粘結質量不好所造成的,PVC的連接方法主要是膠水粘接,這要求膠水能使粘接部位的表麵軟化,軟化部位然後被壓緊,它的粘接質量同操作人員的技術的相關性非常大,而且不同的人及不同部位的粘接質量一致性很差。粘接要求有足夠的膠水被塗上並且均勻性要求非常好,管路和管件的粘接部位要非常幹淨且光滑,並且管路要求完全地插入管件。但是由於插入粘接的特性,實際粘接部位是看不見的,缺陷可能存在,並將對整個係統造成極大的風險。
由於PP是熱熔焊接的,所以沒有PVC那樣擔心的沾汙,如粘接溶劑和其他有機溶劑等在PVC管道中經常使用的穩定劑。而這些粘接劑及有機溶劑會產生有機物沾汙(TOC)。另外,PP管道的紅外熱熔焊接采用計算機控製避免了人工操作的質量參差不齊,並能對焊點進行100%的檢查。這使得PP管道相對於Clean-PVC在安裝質量上更有保證。但是PP管道在管路/管件的價格及安裝費用上要高於Clean-PVC。
根據英特爾遍布全球的封裝測試廠的報告,每年都有大量的PVC管路係統失效和漏水問題,失效是由多種原因引起的,其中就包括不適當的粘接,缺少支撐,安裝過程中沒有對準所引起的衝擊等。因此在英特爾新建的封裝測試廠已開始廣泛采用潔淨PP管取代Clean-PVC作為首選管材。
類似於8英寸半導體前工序或更高水質要求的以PVDF管道為主。
如表2所示,8英寸半導體對純水水質指標的要求相當嚴格,Clean-PVC及潔淨PP已不能滿足其要求,而PVDF管道的溶出物及管道內壁光潔度都遠強於Clean-PVC及潔淨PP,故而隻能選擇PVDF管道。在國內的半導體生產中也有8英寸采用Clean-PVC管道的成功案例,但經過實測分析後發現,這類生產廠的產品都是從6英寸升級至8英寸的,也就是在6英寸純水管道係統運行若幹年後升級為8英寸的,而Clean-PVC管路係統經過長時間運行後,其溶出的離子呈逐步減少的趨勢。以某電子廠為例,一期廠房純水係統未設置專門的除TOC紫外線燈,僅依靠製備過程中對TOC的去除,在運行了若幹年後,其回水管道TOC可以達到15ppm,而二期新建的純水係統,設置了專用的除TOC紫外線燈,在係統開始運行階段的站房出口TOC,也隻有50 ppm。正是由於這種特性,所以純水係統在投產前需經過相當長時間的衝洗運行。所以在從6英寸升級到8英寸的生產中,經過若幹年衝洗的Clean-PVC管道也是有可能達到使用要求的。而PVDF管道可以在短時間內衝洗到較低的指標,如表3所示。為了節省初投資,純水回水管道可以采用Clean-PVC或者潔淨PP管代替PVDF,由於純水回水需經過拋光係統的再次處理,所以即使回水中有較多的溶出物也不影響供水的水質,隻是會影響拋光係統的維護費用,但長時間運行後維護費用的差別會逐步減小。
3 結論
綜上所述,筆者認為,對水質有較高要求的電子潔淨廠房的工藝冷卻水,管道應首選Sch-10S級不鏽鋼管及Sch80-PVC管。
類似6英寸半導體前工序及TFT-LCD廠房的水質,可使用Clean-PVC與潔淨PP管道,但潔淨PP在連接方式及施工質量上有明顯的優勢,故而,潔淨PP管可以代替Clean-PVC在純水係統管道中得到更廣泛的應用。
類似8英寸及12英寸半導體廠房的水質,需采用PVDF管道作為首選。由6英寸升級到8英寸半導體水質的管道係統,可采用已運行多年的Clean-PVC管路係統而不必更換成PVDF管路係統。



